聯系熱線
環境紫外臭氧檢測儀原理及使用方法紫外臭氧檢測儀是一種專門用於(yú)檢測環境中臭氧濃度的儀器。臭氧是一種強氧化劑,對環境和人體健康都有一定的影響。因此,準確(què)、快速地檢測

便攜式臭氧測試儀使用方法及步驟便攜式臭氧測試儀是一種用於(yú)測量環境中臭氧濃度的儀器。正確使用臭氧測試儀對於(yú)瞭(le)解環境質量、保障人員健康以及進行科學研究具有重要意義。

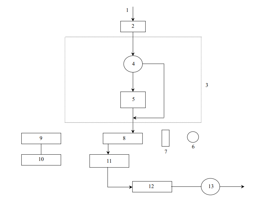
環境臭氧分析儀原理圖及組成在環境監測領域,臭氧氣體分析儀是一種重要的設備(bèi),用於(yú)測量環境空氣中的臭氧濃度。這篇文章介紹環境臭氧氣體分析儀的原理圖及組成。環境臭氧分

美國TAPI 465M臭氧檢測儀原理圖美國TAPI 465M臭氧檢測儀的傳感器模塊隻對非常窄的光譜帶敏感,因此無需紫外線光譜濾波器。而紫外線濾波器會被紫外線或濕度所影響,從而導緻測量結果不準確。465M中使用瞭(le)兩個探測器:一個用於(yú)臭氧測量,...

Aeroqual 930固定式臭氧檢測(cè)儀介紹Aeroqual 930 系列固定式臭氧監測(cè)儀是一款靈活的監測(cè)儀,設計用於(yú)測(cè)量和控制空氣中的臭氧濃度。兼容四個系列的可更換臭氧傳感器頭。适用於(yú)一系列項目,包括健康和安全監測(cè)、臭氧過程控制和洩漏檢...

美國EcoZone EZ‑1X臭氧檢測(cè)儀預熱時間確(què)保EZ‑1X預熱至少15分鍾。如果EZ‑1X已超過一周未使用或存放在化學品附近,強烈建議将其前一天夜裏開始預熱。需要進行預熱,主要目的是“燒掉”傳感器在閑置且未加熱時會吸收的微量化學物質。...

日本荏原Ebara EG- 600在線臭氧監測(cè)儀 ·傳感器和控制裝置分離式·通過電池的特殊結構,可以測(cè)量大體積、高壓的臭氧氣體·直列式:簡單的管道連接管可直接連接到傳感器部分。 參(cān)數測(cè)量原理:紫外吸收法測(cè)量周期:連續測(cè)量測(cè)量範圍:20.0 ...

美國2B臭氧檢測儀106系列與205性能對比下表比較瞭(le)各種 2B Tech 臭氧監測儀的規格,旨在幫助確(què)定哪種臭氧監測儀很适合您的應用。如果您有任何疑問或需要幫助來選擇很适合您需求的臭氧監測儀,請随時與我們聯系。SpecificationM...

美國2B臭氧檢測儀校準和維修步驟以下爲返廠校準的步驟第一步:提交技術支持網絡表格,爲您的儀器開具校準和/或維修服務票證。請務必提供儀器的序列号和型号。如果您遇到問題,如果您符合以下條件,這将極大地幫(bāng)助我們進行故障排除:使用儀器的串口連接來採(cǎi)...
